久草在线最新视频I国产美女视频网站I国语精品视频I色播五月激情综合网I九九热久久免费视频I大荫蒂欧美视频另类xxxx

KTV聲學處理前后

2017-7-20 23:18:55 諾聲聲學

聲學處理前

聲學處理后

ktv包房吸音隔音降噪設計方案

ktv包房吸音隔音降噪

  一、KTV等娛樂場所建筑聲學設計的概況
  KTV場所分類
  A.量版式KTV
  朋友聚會,家庭團聚,同學party,生日慶祝。消費平民化。

量版式KTV包房吸音隔音降噪

  B.高級娛樂會所
  裝修豪華,適合商務應酬,注重私密性。消費高。

高級ktv包房吸音隔音降噪

  C.夜總會

夜總會ktv包房吸音隔音降噪

  本方案制定是根據KTV的具體應用需求,結合我們以往同類項目的工作經驗,依據現有的國家標準、規范,并參照國際上通用規范進行的,以達到使整個包房環境具有較好的聲學特性,即合適的聲壓級,較好的將聲場調節到最佳狀態,滿足KTV使用需求。小包房設計面積在8~11平米,中包房設計在15~18平米,大包房在24~30平米,特大包房在55平米以上為宜。
  1.1 工程名稱:KTV包房吸音降噪工程
  1.2 施工材料:聚酯纖維吸音板布藝軟包

  二、 聲學設計目標及標準
  我國是世界上卡拉OK最多的國家,其裝修風格各有千秋,但是普遍存在聲學效果差的問題。KTV遍布我國各個省市,很多KTV由于沒有專業的技術人員指導,一旦投入使用就易出現這樣或者那樣的問題,普遍的現象是唱歌聲音質量不好、房間與房間串音現象嚴重、房間噪聲大等。這些現象的產生是和裝修設計者的設計有著密切的關系。KTV包房的聲場有著一定的特殊性,比如說房間小,易引起嘯叫,需要專業的技術和專業的材料相結合才能達到滿意的聲場效果。即使KTV內部裝修的多豪華,音響系統多高級,當人們去唱歌的時候還會發現唱起歌來很吃力,或者有聲染色現象。有些地方還會串音嚴重,有些KTV還會由于排放的噪聲影響了附近居民的正常生活而投訴不斷,不能正常營業。為了能保證KTV的正常營業,KTV聲學效果不能僅依賴高端的音響系統,而且也不實際,還要為好的音響系統制造優良的聲學環境,使音響水準發揮得淋漓盡致。這就需要建筑聲學設計,并且至始至終參透于KTV的裝修,裝飾之中。其實聲學裝修的投資往往低于豪華裝修,經過諾聲聲學設計裝修的場所的音響效果會更好。還有一種錯誤想法就是認為只要進行了"軟包"就是進行了聲學的裝修,本方案的聲學裝修是針對房間聲音缺陷和擴聲目的不同進行的,而不是簡單吸聲處理。

  KTV等娛樂場所建筑聲學設計的相關標準和規范
  1、《建筑隔聲評價標準》GB/50121-2005
  2、《民用建筑隔聲設計規范》GB 50118-2010
  3、《社會生活環境噪聲排放標準》GB 22337-2008
  4、《聲環境質量標準》GB 3096-2008
  5、《建筑隔聲與吸聲構造》(國家建筑標準設計圖集08J931)
  6、《廳堂混響時間測量規范》GBJ76-84
  7、《民用建筑工程室內環境污染控制規范》GB50325-2001
  8、《建筑設計防火規范》GBJ16-1987(2001年版)
  9、《建筑內部裝修設計防火規范》(GB50222-95)
  
  三、KTV吸音材料的應用
  軟包是最常見的裝修方式,但是卻不夠專業,但無法達到良好的吸收效果,如果滿房間采用這種工藝就會造成唱歌"累"的現象。傳統軟包在消防這一項就過不了關,傳統軟包沒有防火功能;而且傳統軟包的厚度大約25mm左右,縮小使用空間,使施工復雜化,不利于趕工期,綜合造價高;而市場上用的里面多是玻璃棉,海綿等,根本答不到吸音的要求,且玻璃棉接觸皮膚,容易過敏。
  當前市面上比較流行的是使用聚酯纖維吸音板和諾聲布藝軟包,與傳統軟包相比,其優勢在于:1、吸音系數高;2、造價便宜;3、顏色隨意搭配;4、密度低自身重量輕;5、宜施工及趕工期的絕佳材料;6、效果獨特;7、環保;8、防火

聚酯纖維吸音板參數布藝軟包參數

  四、KTV等娛樂場所建筑聲學設計的音質設計
  4.1 混響時間
  混響時間是聲學裝修中要控制的一個非常重要的參數,是進行聲學裝修的精華所在,室內音質效果的好壞,與這個參數有著很大的關聯,也是唯一可以用科學儀器加以測量的廳堂聲學參數。那絕不是簡單的采用軟包或者地毯就能解決問題的。合理的混響時間反映在聲場上就會使音響系統的表現非常出色,給人聲音飽滿圓潤的感覺。像KTV這種以卡拉OK演唱為主的室內聲場,在混響時間的取值上最好相對取得偏小一些(0.5-1秒),因為KTV的人聲演唱效果都要采用專業的效果器進行人工的混響處理,如果聲場的自然混響時間取值偏大,再加上人工混響后就會造成聲音沉悶渾濁,甚至容易自激嘯叫。
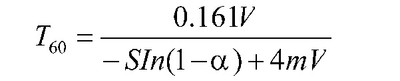
  混響時間T60是指當室內聲場達到穩態后,令聲源停止發聲,自此刻起至聲壓級衰變60dB所經歷的時間。是評價房間音質最重要的客觀指標之一。
  T60的計算公式為:

T60的計算公式

  其中,室內平均吸聲系數:

室內平均吸聲系數

  式中:V—房間容積(m3);S—室內總表面積(m2);α—室內平均吸聲系數;m—空氣中聲衰減系數(M-1);
  Si—室內各部分的表面積(m2);αi—與Si對應的吸聲系數;Nj—人或物體的數量(m2);αj—與Ni對應的吸聲系數。
  小包房設計面積在8~11平米,中包房設計在15~18平米,大包房在24~30平米,特大包房在55平米以上。包房容積并非太大,所以混響時間根據房間體型大小主要控制在0.5-1.0s之間。

  4.2 解決方案
  對于一個已確定的房間,混響時間主要取決于吸聲處理,在裝飾的過程當中,在聲場的上下、前后、左右六個聲音反射面做好合理的吸音處理,就能很好的控制混響時間,而地面受裝飾效果和材料的限制,一般都是采用地毯或隔音墊;同樣的吊頂也是受到裝飾效果的限制而不能進行太復雜的吸音處理,那主要的處理面就落到了前后左右的四面墻上了。
  1、接待廳和等候廳的墻面和頂棚根據混響時間的大小要求合理布置吸聲材料和吸聲吊頂。
  2、包房中的墻面和頂棚根據計算的混響時間大小合理布置吸聲材料,小包廂主要在音響設備、視頻的后墻上和對墻安裝吸聲結構。中包房、大包房和特大包房要根據混響時間要求合理增加材料面積。為減少成本,可設置吸聲吊頂。要注意避免做成“腔體”結構。
  3、家具的擺放位置和其他裝飾設計要考慮有利于聲場的擴散,如音響設備與演唱者的距離要遠,對聲場的擴散有利。
  4、包房各點聲場聲壓級測試值偏差小于2dB。
  5、在聲影區設立一個獨立的酒吧臺或者私密區,避免聲影區對其他功能區的影響。

  五、KTV等娛樂場所建筑聲學設計的隔聲和噪聲控制
  5.1 室內內降噪量:

室內內降噪量

  式中:△Lp—房間內吸聲降噪量(dB);Q—指向性因子;R1—處理前的房間常數;R2—處理后的房間常數;r—受聲點到聲源的距離。

  5.2 隔聲質量定律:
  R=20lgm+20lgf-48
  式中:R—隔聲量(dB);m—材料的面密度(kg/m2);f—入射聲波的頻率(HZ);
  《民用建筑設計通則》JGJ37-87中,要求各類主要用房的隔墻計權隔聲量Rw不應小于40dB。

室內內降噪量室內允許噪聲級

  0類功能區適用于特殊住宅區,如高級住宅區、療養院等。
  1類功能區適用于以居住、文教機關為主的區域。
  2類功能區適用于居住、商業、工業混雜區及商業中心區。
  3類功能區適用于工業區。
  4類功能區適用于交通干線道路兩側區域。

  5.3 解決方案
  1、墻體隔音:大廳與包間之間,包間與包間之間都要做好隔聲處理。首先經濟實用的是2/4紅磚墻,隔墻一定要砌到頂部,其次是隔音墻,采用輕鋼龍骨石膏板或者防火隔音板
  2、墻體需要走通風管道或者其他走線時再打孔穿過,線路要做好密封處理,避免引起串音現象。
  3、地面隔音:房間的空氣噪聲會通過振動向樓下和結構傳播,可通過找平地面,滿鋪隔音材料,安裝地板的方式解決。
  4、天花板隔音:在原有樓板的基礎上,做輕鋼龍骨吊頂,外面形成一個空腔內填滿吸音材料,在吸音材料下面用雙層石膏板做一層輕質吊頂。
  5、選擇低頻聲的排風、空調系統,選擇低阻抗阻尼系數的功放,話筒和音響系統。降低背景噪聲。
  6、對通風系統和中央空調系統等進行必要的消聲,隔音減振處理。
  7、其他配電房,機房,冷卻塔等構筑物必須做好隔聲減振處理。
  8、與外界相通的門窗必須做隔聲處理,門窗要做好密封處理,不能留有縫隙。

  5.4 使用材料要求
  1、大廳和包房的頂棚材料應采用A級裝修材料,墻面、地面材料不應低于B1級。
  2、疏散通道和走廊內頂棚材料應采用A級裝修材料,墻面、地面材料不應低于B1級。
  3、大廳和包房頂棚、墻面裝飾采用的龍骨材料均應為A級材料。
  4、隔墻的耐火極限不低于2.0h,樓板耐火極限不低于1.5h。
  5、疏散門的數量應經計算確定,且不應少于2個。且不應小于0.90m。應采用甲級防火門。
  6、沒有玻璃纖維粉塵污染,滿足環保要求。甲醛釋放量達到E1級以上標準。

  六、聲學設計注意事項和施工要求
  6.1 房間的擴散性
  房間的聲音擴散特性對于KTV包房聲學效果的影響也非常重要,良好的擴散特性能夠使室內聲音衰減平滑,并且房間內各處聲音感覺均勻,一般要求各點場壓級測試值偏差小于2dB。因此在裝飾時首先要避免凹狀或圓弧型墻面的設計,以免出現聲聚焦現象,使室內某點聲音特別的響,嚴重的還會引起嘯叫,進而造成室內聲壓不均勻;吊頂要注意不能裝飾成腔體結構,并且要盡可能的高一些,房間的空間越大聲音的擴散也就越好。而凸面反射聲擴散體的正確使用,則是使室內聲場趨向均勻擴散的一種有效方法;再有就是音箱的擺位對于聲音的擴散也是至關重要,所以在后期的音響安裝過程當中音箱的擺位一定要嚴格要求。由于KTV的包房面積一般都不是太大,所以只要在裝修過程當中稍加注意一些,那么通過一些簡單得當的裝飾方法就可以得到一個擴散均勻的聲場。

  6.2 室內物體的共振
  室內物體的共振主要指的是裝飾材料產生的振動。例如:燈具安裝不牢固;龍骨架結構不緊密;玻璃安裝沒有減振;吊頂造型不結實等等,這些看似細小的環節在音響大音量工作時,特別是重低音重放的時候,就會振動并且發出一些讓人十分難受的噪音。而這些小小的隱患要到調試音響的時候才會發現,那時候有些問題已經很難處理。所以在裝飾的過程中,這些工程細節的處理也要特別的注意,否則也會對整個聲場環境造成嚴重的影響。

  6.3 消聲墻面的比例設計要合理
  很多人知道在包房里設計一些消聲墻面可以減輕話筒的嘯叫,但有時過分的強調吸音效果,反而會引起話筒混響不足,聲音的干澀,以至于影響整體的演唱效果。因此,包房內還應該有一定的聲音反射,比如說硬質地板的設計,墻面采用原木拼版的設計,就可以解決混響比例不足的情況。

  6.4 ktv吸音材料的布置
  要根據房間的容積、表面積等參數,確定室內較為理想的混響效果,結合裝飾設計和表現意圖,合理搭配聚酯纖維吸音板,主要布置在音響對準的后墻,消除強反射聲對話筒的不利影響;平行對應的墻體如設計采用了光滑硬質材料,容易產生顫動回聲,也應適量布置吸聲材料ktv隔音材料,減小聲缺陷,實現良好的室內聲學環境,充分發揮KTV包房音響系統的音質效果。同時體現裝飾效果的現代性、多樣性。由上可見ktv包房吸音隔音降噪由其重要。

KTV隔音

相關案例

廈門KTV豪華包間隔音工程